Machine Learning
MSET (Multivariate State Estimation Technique) in Oracle 20c
Updated: Changed 20c to Oracle 21c, as Oracle 20c Database never really existed π
Oracle 21c Database comes with some new in-database Machine Learning algorithms.
The short name for one of these is called MSET or Multivariate State Estimation Technique. That’s the simple short name. The more complete name is Multivariate State Estimation Technique – Sequential Probability Ratio Test.Β That is a long name, and the reason is it consists of two algorithms. The first part looks at creating a model of the training data, and the second part looks at how new data is statistical different to the training data.
What are the use cases for this algorithm?Β This algorithm can be used for anomaly detection.
Anomaly Detection, using algorithms, is able identifying unexpected items or events in data that differ to the norm. It can be easy to perform some simple calculations and graphics to examine and present data to see if there are any patterns in the data set. When the data sets grow it is difficult for humans to identify anomalies and we need the help of algorithms.
The images shown here are easy to analyze to spot the anomalies and it can be relatively easy to build some automated processing to identify these. Most of these solutions can be considered AI (Artificial Intelligence) solutions as they mimic human behaviors to identify the anomalies, and these example don’t need deep learning, neural networks or anything like that.
Other types of anomalies can be easily spotted in charts or graphics, such as the chart below.
There are many different algorithms available for anomaly detection, and the Oracle Database already has an algorithm called the One-Class Support Vector Machine. This is a variant of the main Support Vector Machine (SVD) algorithm, which maps or transforms the data, using a Kernel function, into space such that the data belonging to the class values are transformed by different amounts. This creates a Hyperplane between the mapped/transformed values and hopefully gives a large margin between the mapped/transformed points. This is what makes SVD very accurate, although it does have some scaling limitations. For a One-Class SVD, a similar process is followed. The aim is for anomalous data to be mapped differently to common or non-anomalous data, as shown in the following diagram.
Getting back to the MSET algorithm. Remember it is a 2-part algorithm abbreviated to MSET. The first part is a non-linear, nonparametric anomaly detection algorithm that calibrates the expected behavior of a system based on historical data from the normal sequence of monitored signals. Using data in time series format (DATE, Value) the training data set contains data consisting of “normal” behavior of the data. The algorithm creates a model to represent this “normal”/stationary data/behavior. The second part of the algorithm compares new or live data and calculates the differences between the estimated and actual signal values (residuals). It uses Sequential Probability Ratio Test (SPRT) calculations to determine whether any of the signals have become degraded. As you can imagine the creation of the training data set is vital and may consist of many iterations before determining the optimal training data set to use.
MSET has its origins in computer hardware failures monitoring. Sun Microsystems have been were using it back in the late 1990’s-early 2000’s to monitor and detect for component failures in their servers. Since then MSET has been widely used in power generation plants, airplanes, space travel, Disney uses it for equipment failures, and in more recent times has been extensively used in IOT environments with the anomaly detection focused on signal anomalies.
How does MSET work in Oracle 21c?
An important point to note before we start is, you can use MSET on your typical business data and other data stored in the database. It isn’t just for sensor, IOT, etc data mentioned above and can be used in many different business scenarios.
The first step you need to do is to create the time series data. This can be easily done using a view, but a Very important component is the Time attribute needs to be a DATE format. Additional attributes can be numeric data and these will be used as input to the algorithm for model creation.
-- Create training data set for MSET CREATE OR REPLACE VIEW mset_train_data AS SELECT time_id, Β Β Β Β Β Β Β Β Β sum(quantity_sold) quantity, Β Β Β Β Β Β Β Β Β sum(amount_sold) amount FROM (SELECT * FROM sh.sales WHERE time_id <= '30-DEC-99β) GROUP BY time_id ORDER BY time_id;
The example code above uses the SH schema data, and aggregates the data based on the TIME_ID attribute. This attribute is a DATE data type. The second import part of preparing and formatting the data is Ordering of the data. The ORDER BY is necessary to ensure the data is fed into or processed by the algorithm in the correct time series order.
The next step involves defining the parameters/hyper-parameters for the algorithm. All algorithms come with a set of default values, and in most cases these are suffice for your needs. In that case, you only need to define the Algorithm Name and to turn on Automatic Data Preparation. The following example illustrates this and also includes examples of setting some of the typical parameters for the algorithm.
BEGIN Β DELETE FROM mset_settings; Β -- Select MSET-SPRT as the algorithm Β INSERTΒ INTO mset_sh_settings (setting_name, setting_value) Β Β VALUES(dbms_data_mining.algo_name, dbms_data_mining.algo_mset_sprt); Β -- Turn on automatic data preparation Β INSERT INTO mset_sh_settings (setting_name, setting_value) Β Β VALUES(dbms_data_mining.prep_auto, dbms_data_mining.prep_auto_on); Β -- Set alert count Β INSERT INTO mset_sh_settings (setting_name, setting_value) Β VALUES(dbms_data_mining.MSET_ALERT_COUNT, 3); Β -- Set alert window Β INSERT INTO mset_sh_settings (setting_name, setting_value) Β VALUES(dbms_data_mining.MSET_ALERT_WINDOW, 5); Β -- Set alpha Β INSERT INTO mset_sh_settings (setting_name, setting_value) Β VALUES(dbms_data_mining.MSET_ALPHA_PROB, 0.1); Β COMMIT; END;
To create the MSET model using the MST_TRAIN_DATA view created above, we can run:
BEGIN --Β Β DBMS_DATA_MINING.DROP_MODEL(MSET_MODEL'); Β DBMS_DATA_MINING.CREATE_MODEL ( Β Β Β Β Β model_nameΒ Β Β Β Β Β Β Β Β => 'MSET_MODEL', Β Β Β Β Β mining_functionΒ Β Β Β => dbms_data_mining.classification, Β Β Β Β Β data_table_nameΒ Β Β Β => 'MSET_TRAIN_DATA', Β Β Β Β Β case_id_column_name => 'TIME_ID', Β Β Β Β Β target_column_nameΒ => '', Β Β Β Β Β settings_table_name => 'MSET_SETTINGS'); END;
The SELECT statement below is an example of how to call and run the MSET model to label the data to find anomalies. The PREDICTION function will return a values of 0 (zero) or 1 (one) to indicate the predicted values. If the predicted values is 0 (zero) the MSET model has predicted the input record to be anomalous, where as a predicted values of 1 (one) indicates the value is typical. This can be used to filter out the records/data you will want to investigate in more detail.
-- display all dates with Anomalies SELECT time_id, pred FROM (SELECT time_id, prediction(mset_sh_model using *) over (ORDER BY time_id) pred Β Β Β FROM mset_test_data) WHERE pred = 0;
Benchmarking calling Oracle Machine Learning using REST
Over the past year I’ve been presenting, blogging and sharing my experiences of using REST to expose Oracle Machine Learning models to developers in other languages, for example Python.
One of the questions I’ve been asked is, Does it scale?
Although I’ve used it in several projects to great success, there are no figures I can report publicly on how many REST API calls can be serviced π¦
But this can be easily done, and the results below are based on using and Oracle Autonomous Data Warehouse (ADW) on the Oracle Always Free.
The machine learning model is built on a Wine reviews data set, using Oracle Machine Learning Notebook as my tool to write some SQL and PL/SQL to build out a model to predict Good or Bad wines, based on the Prices and other characteristics of the wine. A REST API was built using this model to allow for a developer to pass in wine descriptors and returns two values to indicate if it would be a Good or Bad wine and the probability of this prediction.
No data is stored in the database. I only use the machine learning model to make the prediction
I built out the REST API using APEX, and here is a screenshot of the GET API setup.
Here is an example of some Python code to call the machine learning model to make a prediction.
import json
import requests
country = 'Portugal'
province = 'Douro'
variety = 'Portuguese Red'
price = '30'
resp = requests.get('https://jggnlb6iptk8gum-adw2.adb.us-ashburn-1.oraclecloudapps.com/ords/oml_user/wine/wine_pred/'+country+'/'+province+'/'+'variety'+'/'+price)
json_data = resp.json()
print (json.dumps(json_data, indent=2))
—–
{
"pred_wine": "LT_90_POINTS",
"prob_wine": 0.6844716987704507
}
But does this scale, as in how many concurrent users and REST API calls can it handle at the same time.
To test this I multi-threaded processes in Python to call a Python function to call the API, while ensuring a range of values are used for the input parameters. Some additional information for my tests.
- Each function call included two REST API calls
- Test effect of creating X processes, at same time
- Test effect of creating X processes in batches of Y agents
- Then, the above, with function having one REST API call and also having two REST API calls, to compare timings
- Test in range of parallel process from 10 to 1,000 (generating up to 2,000 REST API calls at a time)
Some of the results. The table shows the time(*) in seconds to complete the number of processes grouped into batches (agents). My laptop was the limiting factor in these tests. It wasn’t able to test when the number of parallel processes when above 500. That is why I broke them into batches consisting of X agents
* this is the total time to run all the Python code, including the time taken to create each process.
Some observations:
- Time taken to complete each function/process was between 0.45 seconds and 1.65 seconds, for two API calls.
- When only one API call, time to complete each function/process was between 0.32 seconds and 1.21 seconds
- Average time for each function/process was 0.64 seconds for one API functions/processes, and 0.86 for two API calls in function/process
- Table above illustrates the overhead associated with setting up, calling, and managing these processes
As you can see, even with the limitations of my laptop, using an Oracle Database, in-database machine learning and REST can be used to create a Micro-Service type machine learning scoring engine. Based on these numbers, this machine learning micro-service would be able to handle and process a large number of machine learning scoring in Real-Time, and these numbers would be well within the maximum number of such calls in most applications. I’m sure I could process more parallel processes if I deployed on a different machine to my laptop and maybe used a number of different machines at the same time
How many applications within you enterprise needs to process move than 6,000 real-time machine learning scoring per minute?Β This shows us the Oracle Always Free offering is capable and suitable for most applications.
Now, if you are processing more than those numbers per minutes then perhaps you need to move onto the paid options.
What next? I’ll spin up two VMs on Oracle Always Free, install Python, copy code into these VMs and have then run in parallel π
OCI Data Science β Create a Project & Notebook, and Explore the Interface
In my previous blog post I went through the steps of setting up OCI to allow you to access OCI Data Science. Those steps showed the setup and configuration for your Data Science Team.

In this post I will walk through the steps necessary to create an OCI Data Science Project and Notebook, and will then Explore the basic Notebook environment.
1 – Create a Project
From the main menu on the Oracle Cloud home page select Data Science -> Projects from the menu.

Select the appropriate Compartment in the drop-down list on the left hand side of the screen. In my previous blog post I created a separate Compartment for my Data Science work and team. Then click on the Create Projects button.
Enter a name for your project. I called this project, ‘DS-Demo-Project’. Click Create button.


That’s the Project created.
2 – Create a Notebook
After creating a project (see above) you can not create one or many Notebook Sessions.
To create a Notebook Session click on the Create Notebook Session button (see the above image).Β This will create a VM to contain your notebook and associated work. Just like all VM in Oracle Cloud, they come in various different shapes. These can be adjusted at a later time to scale up and then back down based on the work you will be performing.
The following example creates a Notebook Session using the basic VM shape. I call the Notebook ‘DS-Demo-Notebook’. I also set the Block Storage size to 50G, which is the minimum value. The VNC details have been defaulted to those assigned to the Compartment. Click Create button at the bottom of the page.

The Notebook Session VM will be created. This might take a few minutes. When created you will see a screen like the following.

3 – Open the Notebook
After completing the above steps you can now open the Notebook Session in your browser.Β Either click on the Open button (see above image), or copy the link and share with your data science team.
Important: There are a few important considerations when using the Notebooks. While the session is running you will be paying for it, even if the session got terminated at the browser or you lost connect. To manage costs, you may need to stop the Notebook session. More details on this in a later post.
After clicking on the Open button, a new browser tab will open and will ask you to log-in.

After logging in you will see your Notebook.

4 – Explore the Notebook Environment
The Notebook comes pre-loaded with lots of goodies.
The menu on the left-hand side provides a directory with lots of sample Notebooks, access to the block storage and a sample getting started Notebook.

When you are ready to create your own Notebook you can click on the icon for that.

Or if you already have a Notebook, created elsewhere, you can load that into your OCI Data Science environment.

The uploaded Notebook will appear in the list on the left-hand side of the screen.
OCI Data Science – Initial Setup and Configuration
After a very, very, very long wait (18+ months) Oracle OCI Data Science platform is now available.
But before you jump straight into using OCI Data Science, there is a little bit of setup required for your Cloud Tenancy. There is the easy simple approach and then there is the slightly more involved approach. These are
- Simple approach. Assuming you are just going to use the root tenancy and compartment, you just need to setup a new policy to enable the use of the OCI Data Science services. This assuming you have your VNC configuration complete with NAT etc. This can be done by creating a policy with the following policy statement. After creating this you can proceed with creating your first notebook in OCI Data Science.
allow service datascience to use virtual-network-family in tenancy

- Slightly more complicated approach. When you get into having a team based approach you will need to create some additional Oracle Cloud components to manage them and what resources are allocated to them. This involved creating Compartments, allocating users, VNCs, Policies etc. The following instructions brings you through these steps
IMPORTANT: After creating a Compartment or some of the other things listed below, and they are not displayed in the expected drop-down lists etc, then either refresh your screen or log-out and log back in again!
1. Create a Group for your Data Science Team & Add Users
The first step involves creating a Group to ‘group’ the various users who will be using the OCI Data Science services.
Go to Governance and Administration ->Identity and click on Groups.
Enter some basic descriptive information. I called my Group, ‘my-data-scientists’.
Now click on your Group in the list of Groups and add the users to the group.
You may need to create the accounts for the various users.

2. Create a Compartment for your Data Science work
Now create a new Compartment to own the network resources and the Data Science resources.
Go to Governance and Administration ->Identity and click on Compartments.
Enter some basic descriptive information. I’ve called my compartment, ‘My-DS-Compartment’.
3. Create Network for your Data Science work
Creating and setting up the VNC can be a little bit of fun. You can do it the manual way whereby you setup and configure everything. Or you can use the wizard to do this. I;m going to show the wizard approach below.
But the first thing you need to do is to select the Compartment the VNC will belong to. Select this from the drop-down list on the left hand side of the Virtual Cloud Network page. If your compartment is not listed, then log-out and log-in!
To use the wizard approach click the Networking QuickStart button.

Select the option ‘VCN with Internet Connectivity and click Start Workflow, as you will want to connect to it and to allow the service to connect to other cloud services.

I called my VNC ‘My-DS-vnc’ and took the default settings. Then click the Next button.

The next screen shows a summary of what will be done. Click the Create button, and all of these networking components will be created.

All done with creating the VNC.
4. Create required Policies enable OCI Data Science for your Compartment
There are three policies needed to allocated the necessary resources to the various components we have just created. To create these go to Governance and Administration ->Identity and click on Policies.
Select your Compartment from the drop-down list. This should be ‘My-DS-Compartment’, then click on Create Policy.
The first policy allocates a group to a compartment for the Data Science services. I called this policy, ‘DS-Manage-Access’.
allow group My-data-scientists to manage data-science-family in compartment My-DS-Compartment

The next policy is to give the Data Science users access to the network resources. I called this policy, ‘DS-Manage-Network’.
allow group My-data-scientists to use virtual-network-family in compartment My-DS-Compartment

And the third policy is to give Data Science service access to the network resources. I called this policy, ‘DS-Network-Access’.
allow service datascience to use virtual-network-family in compartment My-DS-Compartment

Job Done π
You are now setup to run the OCI Data Science service.Β Check out my Blog Post on creating your first OCI Data Science Notebook and exploring what is available in this Notebook.
Data Science (The MIT Press Essential Knowledge series) – available in English, Korean and Chinese
Back in the middle of 2018 MIT Press published my Data Science book, co-written with John Kelleher. It book was published as part of their Essentials Series.
During the few months it was available in 2018 it became a best seller on Amazon, and one of the top best selling books for MIT Press. This happened again in 2019. Yes, two years running it has been a best seller!
2020 kicks off with the book being translated into Korean and Chinese. Here are the covers of these translated books.
The Japanese and Turkish translations will be available in a few months!
Go get the English version of the book on Amazon in print, Kindle and Audio formats.
This book gives a concise introduction to the emerging field of data science, explaining its evolution, relation to machine learning, current uses, data infrastructure issues and ethical challenge the goal of data science is to improve decision making through the analysis of data. Today data science determines the ads we see online, the books and movies that are recommended to us online, which emails are filtered into our spam folders, even how much we pay for health insurance.
Go check it out.
Amazon.com. Β Β Β Β Β Amazon.co.uk

#GE2020 Analysing Party Manifestos using Python
The general election is underway here in Ireland with polling day set for Saturday 8th February. All the politicians are out campaigning and every day the various parties are looking for publicity on whatever the popular topic is for that day. Each day is it a different topic.
Most of the political parties have not released their manifestos for the #GE2020 election (as of date of this post). I want to use some simple Python code to perform some analyse of their manifestos. As their new manifestos weren’t available (yet) I went looking for their manifestos from the previous general election. Michael Pidgeon has a website with party manifestos dating back to the early 1970s, and also has some from earlier elections. Check out his website.
I decided to look at manifestos from the 4 main political parties from the 2016 general election. Yes there are other manifestos available, and you can use the Python code, given below to analyse those, with only some minor edits required.
The end result of this simple analyse is a WordCloud showing the most commonly used words in their manifestos. This is graphical way to see what some of the main themes and emphasis are for each party, and also allows us to see some commonality between the parties.
Let’s begin with the Python code.
1 – Initial Setup
There are a number of Python Libraries available for processing PDF files. Not all of them worked on all of the Part Manifestos PDFs! It kind of depends on how these files were generated. In my case I used the pdfminer library, as it worked with all four manifestos. The common library PyPDF2 didn’t work with the Fine Gael manifesto document.
import io import pdfminer from pprint import pprint from pdfminer.converter import TextConverter from pdfminer.pdfinterp import PDFPageInterpreter from pdfminer.pdfinterp import PDFResourceManager from pdfminer.pdfpage import PDFPage #directory were manifestos are located wkDir = '.../General_Election_Ire/' #define the names of the Manifesto PDF files & setup party flag pdfFile = wkDir+'FGManifesto16_2.pdf' party = 'FG' #pdfFile = wkDir+'Fianna_Fail_GE_2016.pdf' #party = 'FF' #pdfFile = wkDir+'Labour_GE_2016.pdf' #party = 'LB' #pdfFile = wkDir+'Sinn_Fein_GE_2016.pdf' #party = 'SF'
All of the following code will run for a given manifesto. Just comment in or out the manifesto you are interested in. The WordClouds for each are given below.
2 – Load the PDF File into Python
The following code loops through each page in the PDF file and extracts the text from that page.
I added some addition code to ignore pages containing the Irish Language. The Sinn Fein Manifesto contained a number of pages which were the Irish equivalent of the preceding pages in English. I didn’t want to have a mixture of languages in the final output.
SF_IrishPages = [14,15,16,17,18,19,20,21,22,23,24]
text = ""
pageCounter = 0
resource_manager = PDFResourceManager()
fake_file_handle = io.StringIO()
converter = TextConverter(resource_manager, fake_file_handle)
page_interpreter = PDFPageInterpreter(resource_manager, converter)
for page in PDFPage.get_pages(open(pdfFile,'rb'), caching=True, check_extractable=True):
if (party == 'SF') and (pageCounter in SF_IrishPages):
print(party+' - Not extracting page - Irish page', pageCounter)
else:
print(party+' - Extracting Page text', pageCounter)
page_interpreter.process_page(page)
text = fake_file_handle.getvalue()
pageCounter += 1
print('Finished processing PDF document')
converter.close()
fake_file_handle.close()
FG - Extracting Page text 0 FG - Extracting Page text 1 FG - Extracting Page text 2 FG - Extracting Page text 3 FG - Extracting Page text 4 FG - Extracting Page text 5 ...
3 – Tokenize the Words
The next step is to Tokenize the text. This breaks the text into individual words.
from nltk.tokenize import word_tokenize
from nltk.corpus import stopwords
tokens = []
tokens = word_tokenize(text)
print('Number of Pages =', pageCounter)
print('Number of Tokens =',len(tokens))
Number of Pages = 140 Number of Tokens = 66975
4 – Filter words, Remove Numbers & Punctuation
There will be a lot of things in the text that we don’t want included in the analyse. We want the text to only contain words. The following extracts the words and ignores numbers, punctuation, etc.
#converts to lower case, and removes punctuation and numbers wordsFiltered = [tokens.lower() for tokens in tokens if tokens.isalpha()] print(len(wordsFiltered)) print(wordsFiltered)
58198 ['fine', 'gael', 'general', 'election', 'manifesto', 's', 'keep', 'the', 'recovery', 'going', 'gaelgeneral', 'election', 'manifesto', 'foreward', 'from', 'an', 'taoiseach', 'the', 'long', 'term', 'economic', 'three', 'steps', 'to', 'keep', 'the', 'recovery', 'going', 'agriculture', 'and', 'food', 'generational', ...
As you can see the number of tokens has reduced from 66,975 to 58,198.
5 – Setup Stop Words
Stop words are general words in a language that doesn’t contain any meanings and these can be removed from the data set. Python NLTK comes with a set of stop words defined for most languages.
#We initialize the stopwords variable which is a list of words like
#"The", "I", "and", etc. that don't hold much value as keywords
stop_words = stopwords.words('english')
print(stop_words)
['i', 'me', 'my', 'myself', 'we', 'our', 'ours', 'ourselves', 'you', "you're", "you've", "you'll", "you'd", 'your', 'yours', 'yourself', ....
Additional stop words can be added to this list. I added the words listed below. Some of these you might expect to be in the stop word list, others are to remove certain words that appeared in the various manifestos that don’t have a lot of meaning. I also added the name of the partiesΒ and some Irish words to the stop words list.
#some extra stop words are needed after examining the data and word cloud #these are added extra_stop_words = ['ireland','irish','Ε','need', 'also', 'set', 'within', 'use', 'order', 'would', 'year', 'per', 'time', 'place', 'must', 'years', 'much', 'take','make','making','manifesto','Γ°','u','part','needs','next','keep','election', 'fine','gael', 'gaelgeneral', 'fianna', 'fΓ‘il','fail','labour', 'sinn', 'fein','fΓ©in','atΓ‘','go','le','ar','agus','na','Γ‘r','ag','haghaidh','tΓ©arnamh','bplean','page','two','number','cothromfor'] stop_words.extend(extra_stop_words) print(stop_words)
Now remove these stop words from the list of tokens.
# remove stop words from tokenised data set filtered_words = [word for word in wordsFiltered if word not in stop_words] print(len(filtered_words)) print(filtered_words)
31038 ['general', 'recovery', 'going', 'foreward', 'taoiseach', 'long', 'term', 'economic', 'three', 'steps', 'recovery', 'going', 'agriculture', 'food',
The number of tokens is reduced to 31,038
6 – Word Frequency Counts
Now calculate how frequently these words occur in the list of tokens.
#get the frequency of each word from collections import Counter # count frequencies cnt = Counter() for word in filtered_words: cnt[word] += 1 print(cnt)
Counter({'new': 340, 'support': 249, 'work': 190, 'public': 186, 'government': 177, 'ensure': 177, 'plan': 176, 'continue': 168, 'local': 150,
...
7 – WordCloud
We can use the word frequency counts to add emphasis to the WordCloud. The more frequently it occurs the larger it will appear in the WordCloud.
#create a word cloud using frequencies for emphasis
from wordcloud import WordCloud
import matplotlib.pyplot as plt
wc = WordCloud(max_words=100, margin=9, background_color='white',
scale=3, relative_scaling = 0.5, width=500, height=400,
random_state=1).generate_from_frequencies(cnt)
plt.figure(figsize=(20,10))
plt.imshow(wc)
#plt.axis("off")
plt.show()
#Save the image in the img folder:
wc.to_file(wkDir+party+"_2016.png")
The last line of code saves the WordCloud image as a file in the directory where the manifestos are located.
8 – WordClouds for Each Party

Remember these WordClouds are for the manifestos from the 2016 general election.
When the parties have released their manifestos for the 2020 general election, I’ll run them through this code and produce the WordClouds for 2020. It will be interesting to see the differences between the 2016 and 2020 manifesto WordClouds.
Machine Learning Evaluation Measures
When developing machine learning models there is a long list of possible evaluation measures. On one hand this can be good as it gives us lots of insights into the models and be able to select the best model that meets the requirements. (BTW this is different to choosing the best model based on the evaluation measures!). On the other hand it can be very confusing what all of these mean as there can appear to be so many of them.Β In this post I’ll look at some of these evolution measures.
I’m not going to go into the basic set of evaluation measures that come from the typical use of the Confusion Matrix, including True/False Positives, True/False Negatives, Accuracy, Miss-classification rate, Precision, Recall, Sensitivity and F1 score.
The following evaluation measures will be discussed:
- R-Squared (R2)
- Mean Squared Error (MSE)
- Sum of Squared Error (SSE)
- Root Mean Square (RMSE)
R-Squared (RΒ²)
R-squaredΒ measures how well your data fits a regression line. It measures the variation of the predicted values, from the model, from that of the actual value. It is typically given as a percentage or in the range of Zero to One (although you can have negative values). It is also known as Coefficient of Determination. The higher the value for RΒ² the better.
RΒ² is always between 0 and 100%:
- 0% indicates that the model explains none of the variability of the response data around its mean.
- 100% indicates that the model explains all the variability of the response data around its mean.

ButΒ
Mean Squared Error (MSE)
MSEΒ measures average squared error of our predictions. For each point, it calculates square difference between the predictions and the target and then average those values. The higher this value, the worse the model is.

The larger the number the larger the error. Error in this case means the difference between the observed values and the predicted values. Square each difference, this ensures negative and positive values do not cancel each other out.
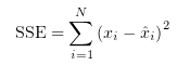
Sum of Squared Error (SSE)
SSE is the sum of the squared differences between each observation and its group’s mean.Β It measures the overall difference between your data and the values predicted by your estimation model.

Root Mean Square Error (RMSE)Β
RMSE is just the square root of MSE. The square root is introduced to make scale of the errors to be the same as the scale of targets. As the square root of a variance, RMSE can be interpreted as the standard deviation of the unexplained variance. Lower values of RMSE indicate better fit. RMSE is a good measure of how accurately the model predicts the response.
Applying a Machine Learning Model in OAC
There are a number of different tools and languages available for machine learning projects. One such tool is Oracle Analytics Cloud (OAC).Β Check out my article for Oracle Magazine that takes you through the steps of using OAC to create a Machine Learning workflow/dataflow.

Oracle Analytics Cloud provides a single unified solution for analyzing data and delivering analytics solutions to businesses. Additionally, it provides functionality for processing data, allowing for data transformations, data cleaning, and data integration. Oracle Analytics Cloud also enables you to build a machine learning workflow, from loading, cleaning, and transforming data and creating a machine learning model to evaluating the model and applying it to new dataβwithout the need to write a line of code. My Oracle Magazine article takes you through the various tasks for using Oracle Analytics Cloud to build a machine learning workflow.
That article covers the various steps with creating a machine learning model. This post will bring you through the steps of using that model to score/label new data.
In the Data Flows screen (accessed via Data->Data Flows) click on Create. We are going to create a new Data Flow to process the scoring/labeling of new data.

Select Data Flow from the pop-up menu. The ‘Add Data Set’ window will open listing your available data sets. In my example, I’m going to use the same data set that I used in the Oracle Magazine article to build the model.Β Click on the data set and then click on the Add button.

The initial Data Flow will be created with the node for the Data Set. The screen will display all the attributes for the data set and from this you can select what attributes to include or remove. For example, if you want a subset of the attributes to be used as input to the machine learning model, you can select these attributes at this stage. These can be adjusted at a later stages, but the data flow will need to be re-run to pick up these changes.

Next step is to create the Apply Model node. To add this to the data flow click on the small plus symbol to the right of the Data Node. This will pop open a window from which you will need to select the Apply Model.

A pop-up window will appear listing the various machine learning models that exist in your OAC environment. Select the model you want to use and click the Ok button.


The next node to add to the data flow is to save the results/outputs from the Apply Model node. Click on the small plus icon to the right of the Apply Model node and select Save Results from the popup window.

We now have a completed data flow. But before you finish edit the Save Data node to give a name for the Save Data Set, and you can edit what attributes/features you want in the result set.

You can now save and run the Data Flow, and view the outputs from applying the machine learning model. The saved data set results can be viewed in the Data menu.

Always watching, always listening. Be careful with your data
The saying ‘Big Brother is Watching’ has been around a long time and typically gets associated with government organisations. But over the past few years we have a few new Big Brothers appearing. These are in the form of Google and Facebook and a few others.
These companies gather lots and lots. Some companies gather enormous amounts of data. This data will include details of your interactions with the companies through various websites, applications, etc. But some are gathering data in ways that you might not be aware. For example, take this following video. Data is being gathered about what you do and where you go even if you have disconnected your phone.
Did you know this kind of data was being gathered about you?
Just think of what they could be doing with that data, that data you didn’t know they were gathering about you. Companies like these generate huge amounts of income from selling advertisements and the more data they have about individuals the more the can understand what they might be interested. The generate customer profiles and sell expensive advertising based on having these very detailed customer profiles.
But it doesn’t stop there. Recently Google bought Fitbit. Just think about what they can do now. Combining their existing profiles of you as a person with you activities throughout every day, week and month. Just think about how various health and insurance companies would love to have this data. Yes they would and companies like Google would be able to charge these companies even more money for this level of detail on individuals/customers.
But it doesn’t stop there. There have been lots of reports of various apps sharing health and other related data with various companies, without their customers being aware this is happening.
What about Google Assistant? In a recent article by MIT Technology Review title Inside Amazonβs plan for Alexa to run your entire life, they discuss how Alexa can be used to control virtually everything. In this article Alexa’s cheif scientist say “plan is for the voice assistant to move from passive to proactive interactions. Rather than wait for and respond to requests, Alexa will anticipate what the user might want. The idea is to turn Alexa into an omnipresent companion that actively shapes and orchestrates your life. This will require Alexa to get to know you better than ever before.”Β When combined with other products this will allow “these new products let Alexa listen to and log data about a dramatically larger portion of your life“.
Just imagine if Google did the same with their Google Assistant!Β Big Brother isn’t just Watching, they are also Listening!
There has been some recent report of Google looking to get into Banking by offering checking accounts. The project, code-named Cache, is due to launch in 2020. Google has partnered with Citigroup and a credit union at Stanford University, which will administer the accounts. Users will be able to access their accounts through Googleβs digital payment platform, Google Pay.
And there are the reports of Google having access to the health records of over 50 million people. In addition to this, Google has signed a deal with Ascension, the second-largest hospital system in the US, to collect and analyze millions of Americansβ personal health data. Ascension operates in 150 hospitals in 21 states.
What if they also had access to your banking details and spending habits? Google is looking at different options to extend financial products from the google pay into more main stream banking. There has been some recent report of them looking at offering current accounts.
I won’t go discussing their attempts at Ethics and their various (failed) attempts at establishing and Ethics Advisory Board. This has been well documented elsewhere.
Things are getting a bit scary and the saying ‘Big Brother is Watching You’, is very, very true.
In the ever increasing connected world, all of us have a responsibility to know what data companies are gathering on us. We need to decide how comfortable we are with this and if you aren’t then you need to take steps to ensure you protect yourself. Maybe part of this protection requires us to become less connected, stop using some apps, turn off more notification, turn off updates, turn off tracking, etc
While taking each product or offering individually, it may seem ok to us for Google and other companies to offer such services and to analyze our data to provide a better service. But for most people the issues arise when each of these products start to be combined. By doing this they get to have greater access and understanding our our data and our behaviors. What role does (digital) ethics play in all of this? This is something for the company and the employees to decide where things should stop. But when/how do you decide this? when do you/they know things have gone too far? how can you undo some of this work to go back to an acceptable level? what is an acceptable level and how do you define this?
As yo can see there are lots of things to consider and a vital component is the role of (digital) ethics. All organizations who process and analyze data need to have an ethics board and ethics needs to be a core part of every project. To support this everyone needs more training and awareness of ethics and what is acceptable or not.
Demographics vs Psychographics for Machine Learning
When preparing data for data science, data mining or machine learning projects you will create a data set that describes the various characteristics of the subject or case record. Each attribute will contain some descriptive information about the subject and is related to the target variable in some way.
In addition to these attributes, the data set will be enriched with various other internal/external data to complete the data set.
Some of the attributes in the data set can be grouped under the heading of Demographics. Demographic data contains attributes that explain or describe the person or event each case record is focused on. For example, if the subject of the case record is based on Customer data, this is the “Who” the demographic data (and features/attributes) will be about. Examples of demographic data include:
- Age range
- Marital status
- Number of children
- Household income
- Occupation
- Educational level
These features/attributes are typically readily available within your data sources and if they aren’t then these name be available from a purchased data set.
Additional feature engineering methods are used to generate new features/attributes that express meaning is different ways. This can be done by combining features in different ways, binning, dimensionality reduction, discretization, various data transformations, etc. The list can go on.
The aim of all of this is to enrich the data set to include more descriptive data about the subject. This enriched data set will then be used by the machine learning algorithms to find the hidden patterns in the data. The richer and descriptive the data set is the greater the likelihood of the algorithms in detecting the various relationships between the features and their values. These relationships will then be included in the created/generated model.
Another approach to consider when creating and enriching your data set is move beyond the descriptive features typically associated with Demographic data, to include Pyschographic data.
Psychographic data is a variation on demographic data where the feature are about describing the habits of the subject or customer.Β Demographics focus on the “who” while psycographics focus on the “why”. For example, a common problem with data sets is that they describe subjects/people who have things in common. In such scenarios we want to understand them at a deeper level. Psycographics allows us to do this. Examples of Psycographics include:
- Lifestyle activities
- Evening activities
- Purchasing interests – quality over economy,Β how environmentally concerned are you
- How happy are you with work, family, etc
- Social activities and changes in these
- What attitudes you have for certain topic areas
- What are your principles and beliefs
The above gives a far deeper insight into the subject/person and helps to differentiate each subject/person from each other, when there is a high similarity between all subjects in the data set. For example, demographic information might tell you something about a person’s age, but psychographic information will tell you that the person is just starting a family and is in the market for baby products.
I’ll close with this. Consider the various types of data gathering that companies like Google, Facebook, etc perform. They gather lots of different types of data about individuals. This allows them to build up a complete and extensive profile of all activities for individuals. They can use this to deliver more accurate marketing and advertising. For example, Google gathers data about what places to visit throughout a data, they gather all your search results, and lots of other activities. They can do a lot with this data. but now they own Fitbit. Think about what they can do with that data and particularly when combined with all the other data they have about you. What if they had access to your medical records too!Β Go Google this ! You will find articles about them now having access to your health records. Again combine all of the data from these different data sources. How valuable is that data?
Machine Learning on Mobile Devices
You: What? You can’t be serious?Β Machine Learning on Mobile Devices?
Me: The simple answer is ‘Yes you can!”
You: But, what about all the complex data processing, CPU or GPU, and everything else that is needed for machine learning?
Me: Yes you are correct, those things might not be needed. What’s the answer to everything in IT?
You: It Depends ?
Me: Exactly. Yes It Depends on what you are doing. In most cases you don’t need large amounts of machine processing power to do machine learning. Except if you are doing image processing. Then you do need a bit of power to support that work.
You: But how can a mobile device be used for machine learning?

Me: It Depends! πΒ It depends on what you are doing. Most of the data processing power needed is for creating the models. That is what most people talk about. Very few people talk about the deployment of machine learning. Deployment, as in, using the machine learning models in your applications.
You: But why mobile devices? That sounds a bit silly?
Me: It does a bit. But when you think about it, how much do you use your mobile phone and tablet?Β Where else have you seen mobile devices being used?
You: I use these all the time, to do nearly everything. Just like everyone else I know.
Me: Exactly!Β and where else have you seen mobile devices being used?
You: Everywhere! hotels, bars, shops, hospitals, everywhere!
Me: Exactly. And it kind of makes sense to have machine learning scoring done at the point of capture of the data and not some hours or days or weeks later in some data warehouse or something else.
You: But what about the processing power of these devices. They aren’t powerful enough to run the machine learning models? Or are they?
Me: What is a machine learning model? In a simple way it is a mathematical formula of the data that calculates a particular outcome. Something that is a bit more complicated than using a sum function.Β Could a mobile device do that easily?
You: Yes. That should be really easy and fast for mobile devices? But machine learning is complex. People keep telling me how complex it is and how difficult it is!
Me: True it can be, but for most problems it can be as simple as writing a few lines of code to create a model. 3-4 lines of code in some languages. But the applying of the the machine learning model can be a simple task (maybe 1 line of code), although some simple data formatting might be needed, but that is a simple task too.
You: So, how can a machine learning model be run on a mobile device?
Me: Programmers write code to run applications on mobile devices. This code can be extended to include the machine learning model. This can be used to score or label the data or do some other processing. A few lines of code.Β A good alternative is to create a web service to all the remove scoring of the data.
You: The programming languages used for mobile development are a bit different to most other applications. Surely those mobile device languages don’t support machine learning.
Me: You’d be surprised by what’s available.
You: OK, What languages can I try? Where can I get started?
Me: Check out Firebase ML Kit, Apple CoreML and TensorFlow Lite. Those should be more than enough for you to get started with. There are a few others. But start with those.
You. Brilliant, thank you Brendan. I’ll let you know how I get on with those.
Examples of Machine Learning with Facial Recognition
In a previous blog post I gave some examples of how facial images recognition and videos are being used in our daily lives. In this post I want to extend this with some additional examples. There are ethical issues around this and in some of these examples their usage has stopped. What is also interesting is the reaction on various social media channels about this. People don’t like it and and happen that some of these have stopped.
But how widespread is this technology? Based on these known examples, and this list is by no means anywhere near complete, but gives an indication of the degree of it’s deployment and how widespread it is.
Dubai is using facial recognition to measure customer satisfaction at four of the Roads and Transport Authority Customer Happiness Centers. They analyze the faces of their customers and rank their level of happiness. They can use this to generate alerts when the happiness levels falls below certain levels.

Various department stores are using facial recognition throughout the stores and at checkout. These are being used to delivery personalized adverts to users on either in-store screen or on personalized screens on the shopping trolley. And can be used to verify a person’s age if they are buying alcohol or other products. Tescoβs have previously used face-scanning cameras at tills in petrol stations to target advertisements at customers depending on their age and approximate age.

Some retail stores are using ML to monitor you, monitor what items you pick up and what you pay for at the checkout, identifying any differences and what steps to take next.
In a slight variation of facial recognition, some stores are using similar technology to monitor stock levels, monitor how people interact with different products (e.g pick up one product and then relate it with a similar product), and optimized location of products. Walmart has been a learner in the are of AI and Machine Learning in the retail section for some time now.
The New York Metropolitan Transport Authority has been using facial capture and recognition at several site across the city. Their proof of concept location was at the Robert F Kennedy Bridge. The company supplying the technology claimed 80% accuracy at predicting the person, through a widescreen while the car was traveling at low speed. These images can then be matched against government databases, such as driver license authorities, police databases and terrorist databases. The problem with this project was that it did not achieve one single positive match (within acceptable parameters) during the initial period of the project.

There are some reports that similar technology is being use on the New York Subway system in Time Square to help with identifying fare dodgers.
How about using facial recognition at boarding gates for your new flight instead of showing your passport or other official photo id. JetBlue and other airlines are now using this technology. Some airports have been using this for many many years.

San Francisco City government took steps in May 2019 to ban the use of facial recognition across all city functions. Other cities like Oakland and Sommerville in Massachusetts have implemented similar bans with other cities likely to follow. But it doesn’t ban the use by private companies.

What about using this technology to automatically monitor and manage staff. Manage staff, as in to decide who should be fired and who should be reallocated elsewhere. It is reported that Amazon is using facial and other recognition systems to monitor staff productivity in their warehouses.

A point I highlighted in my previous post was how are these systems/applications able to get enough images as training samples for their models. This is considering that most of the able systems/applications say they don’t keep any of the images they capture.
How many of us take pictures and post them on Facebook, Instagram, Snapchat, Twitter, etc. By doing this, you are making those images available to these companies to training their machine learning model. To do this they scrap the images for these sites and then have to manually label them with descriptive information. It is a combination of the image and descriptive information that is used by the machine learning algorithms to learn and build a model that suits their needs. See the MIT Technology Review article for more details and example on this topic.

There are also reports of some mobile phone apps that turn on your mobile phone camera. The apps will detect if the phone is possibly mounted on the dashboard of a car, and then takes pictures of the inside of the car and also pictures of where you are driving. Similar reports exists about many apps and voice activated devices.
So be careful what you post on social media or anywhere else online, and be careful of what apps you have on your mobile phone!
There is a general backlash to the use of this technology, and with more people becoming aware of what is happening, we need to more aware of what when and where this technology is being used.
- ← Previous
- 1
- 2
- 3
- 4
- Next →








You must be logged in to post a comment.